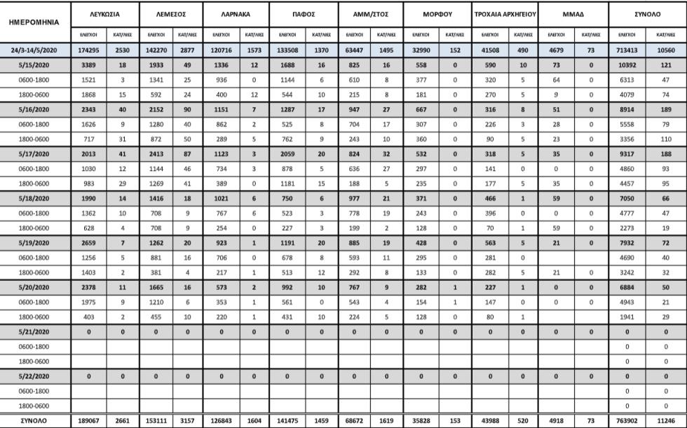
Τον συνολικό αριθμό των καταγγελιών από την αρχή των περιοριστικών μέτρων μέχρι την πλήρη κατάργησή τους σήμερα το πρωί, έδωσε στη δημοσιότητα η Αστυνομία.
Σύμφωνα με τα στοιχεία από τις 11 Μαρτίου μέχρι σήμερα το πρωί, πραγματοποιήθηκαν συνολικά 919959 έλεγχοι εκ των οποίων προέκυψαν 11769 καταγγελίες.
Πρώτη πόλη σε καταγγελίες είναι η Λεμεσός, ενώ ακολουθούν Λευκωσία, Αμμόχωστος, Λάρνακα και Πάφος.
Συγκεκριμένα στη Λεμεσό διενεργήθηκαν 175669 έλεγχοι σε υποστατικά και πολίτες εκ των οποίων προέκυψαν 3308 καταγγελίες. Στη Λευκωσία εκδόθηκαν συνολικά 2728 εξώδικα, στην Αμμόχωστο 1708, στη Λάρνακα 1683, στην Πάφο 1578 και στην περιφέρεια της Μόρφου 171. Η τροχαία Αρχηγείου πραγματοποίησε συνολικά 43988 ελέγχους και εξέδωσε 520 εξώδικα.
ΔΙΑΒΑΣΤΕ ΕΔΩ: Τέλος τα εξώδικα για άσκοπες μετακινήσεις με 29 καταγγελίες
Δείτε αναλυτικά τους πίνακες με τους ελέγχους και τις καταγγελίες
Έλεγχοι και καταγγελίες σε υποστατικά


<











